Zaštita fajlova
Fajlovi su namjenjeni za trajno čuvanje podataka. Za uspešnu upotrebu podataka neophodna je zaštita fajlova, koja obezbijeđuje da podaci, sadržani u fajlu, neće biti izmjenjeni bez znanja i saglasnosti njihovog vlasnika, odnosno, koja obezbijeđuje da podatke, sadržane u fajlu jednog korisnika, bez njegove dozvole drugi korisnici ne mogu da koriste.
Podaci, sadržani u fajlu, ostaju neizmjenjeni, ako se onemogući pristup fajlu i radi pisanja (radi izmjene njegovog sadržaja).
Takođe, podaci, sadržani u datoteci, ne mogu biti korišćeni, ako se onemogući pristup datoteci, radi čitanja (radi preuzimanja njenog sadržaja).
Na ovaj način uvedeno pravo pisanja i pravo čitanja datoteke omogućuju da se za svakog korisnika jednostavno ustanovi koja vrsta upravljanja datotekom mu je dozvoljena, a koja ne. Tako, korisniku, koji ne posjeduje pravo pisanja datoteke, nisu dozvoljena upravljanja datotekom, koja izazivaju izmjenu njenog sadržaja.
Ili, korisniku, koji ne posjeduje pravo čitanja datoteke, nisu dozvoljena upravljanja datotekom, koja zahtijevaju preuzimanje njenog sadržaja.
Za izvršne datoteke uskraćivanje prava čitanja je prestrogo, jer sprečava ne samo neovlašteno uzimanje tuđeg izvršnog programa, nego i njegovo izvršavanje. Zato je uputno, radi izvršnih datoteka, uvesti posebno pravo izvršavanja programa, sadržanih u izvršnim datotekama. Zahvaljujući posjedovanju ovog prava, korisnik može da pokrene izvršavanje programa, sadržanog u izvršnoj datoteci, i onda kada nema pravo njenog čitanja.
Pravo čitanja, pravo pisanja i pravo izvršavanja datoteke predstavljaju tri prava pristupa datotekama, na osnovu kojih se za svakog korisnika utvrđuje koje vrste upravljanja datotekom su mu dopuštene.
Da se za svaku datoteku ne bi evidentirala prava pristupa za svakog korisika pojedinačno, uputno je sve korisnike razvrstati u klase i za svaku od njih vezati pomenua prava pristupa.
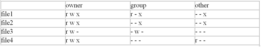
Iskustvo pokazuje da su dovoljne tri klase korisnika. Jednoj pripada vlasnik datoteke, drugoj njegovi saradnici, a trećoj ostali korisnici.
Nakon razvrstavanja korisnika u tri klase, evidentiranje prava pristupa datotekama omogućuje matrica zaštite (protection matrix) koja ima tri kolone (po jedna za svaku klasu korisnika) i onoliko redova koliko ima datoteka.
U presjeku svakog reda i svake kolone matrice zaštite navode se prava pristupa datoteci iz datog reda za korisnike koji pripadaju klasi iz date kolone. Na slici je prikazan primjer matrice zaštite.
